Дисклеймер: эта статья написана человеком. Да, такое еще бывает: ни одного символа, ни одной мысли не пришло от ИИ, я не использовал его ни на каком этапе создания статьи. Все ошибки и тупые шутки, равно как и удачные объяснения — исключительно мои собственные или честно украденные из интернетов.
Представьте: в миллиардах световых лет от нас сталкиваются две черные дыры. Каждая из них — область пространства в пару десятков км, в которой заключена масса десятка Солнц. Они вращаются друг вокруг друга со скоростью в половину скорости света, пока наконец не сталкиваются, излучая огромную энергию в виде гравитационных волн — колебаний пространства-времени. Мощность этого излучения на пике выше, чем мощность всего остального излучения в видимой Вселенной! Гравитационные волны от этого события бегут миллиарды лет со скоростью света, пока наконец не достигают Земли, где мы их ловим огромными детекторами гравитационных волн.

Это огромные интерферометры, где лазерный луч измеряет изменения в длине плеча в 4км — на уровне 1/1000 размера протона. Мы потратили миллиарды, чтобы построить эти детекторы. Так вот, волна прибегает на них, но что мы видим вместо сигнала? НИ ЧЕ ГО. Ну как ничего, шум мы видим. Фотодиод, который должен наблюдать гравитационно-волновой сигнал, видит только шум: сигнал слишком далеко шел и оказался слишком слабым…

(╯°□°)╯︵ ┻━┻
Но стоит нам добавить всего несколько квантово-запутанных фотонов — и реально несколько, порядка тысячи в секунду, по сравнению с 1000000000000000000 фотонами в плечах интерферометра — как картинка разительно меняется. Мы можем увидеть сигнал! Что за квантовая магия тут происходит?!

Два совершенно разных масштаба: самые драматичные события Вселенной и нановатты квантового света — должны работать вместе, чтобы мы с вами могли радоваться новым сигналам и новым открытиям.
В этой статье поговорим про сжатый свет: что это вообще такое, как он позволяет нам обдурить соотношение неопределенности Гейзенберга (на самом деле нет) и как он используется в разных технологиях.
Сжатый свет
Чтобы объяснить, что такое сжатый свет, мы пройдем через несколько этапов принятия….

1. Соотношение неопределенности
Вы наверняка знаете, что в квантовой физике есть параметры, которые нельзя измерить одновременно с абсолютной точностью. Например, это координата и импульс. Если вы точно измерили положение частицы, вы понятия не имеете, как быстро она движется. Если вы будете много-много раз измерять координату и импульс частицы, вы получите разброс измерений, такой, что неопределенность координаты, помноженная на неопределенность импульса, будут некоторой константой — и никогда не меньше, чем она.

Это соотношение можно увидеть и иначе: если построить вероятность получить результат измерения, у нас получится такой вот красивый колокол, проекции которого на оси координаты и импульса дают гауссовское (нормальное) распределение. А если посмотреть на ту же картинку сверху, мы получим красивый кружок, определяющий неопределенность. Запомните его, он нам пригодится дальше.

Кстати, картинка из моего поста про парадоксальную реальность квантовой механики
Ровно то же выполняется и для света — электромагнитной волны. Амплитуда и фаза электромагнитной волны тоже не могут быть измерены точно. То есть, если вы будете измерять лазерный луч с помощью фотодиода, вы будете наблюдать случайное распределение амплитуды. Ровно то же справедливо и для фазы. Обычно мы определяем это так: электромагнитная волна — периодические колебания. Мы представляем ее как сумму фазовых и амплитудных колебаний (мы говорим про “квадратуры” X и Y). Если вам нравятся уравнения, вот вам уравнение, наслаждайтесь!

И вот эти самые “квадратуры” и шумят (вот этим квадратом колесо и стучит). Это фундаментальное свойство света и от этого никуда не сбежать. Хуже того: даже абсолютный вакуум наполнен электромагнитными колебаниями — шумом — с ненулевой энергией и такими же неопределенностями.
Удобно строить это как график возможных значений X и Y: получается такой кружок, который и задает статистику — значения оказываются распределены вокруг среднего с неопределенность ΔX и ΔY, которые тоже подчиняются соотношению неопределенности. Ровно такой же кружок, как на картинке выше (ну только тут его генерил мистер Питон, а не какой-то художник):

Итак, первый важный компонент у нас есть: шум нашего лазера можно нарисовать как кружочек в фазовом пространстве.
А заметили, что по оси Y у нас есть еще красная черточка? Эта черточка — наш сигнал, который мы хотим распознать. Скажем, амплитуда света немного меняется во времени (например, пришла гравитационная волна!). Но, к сожалению, черточка слишком маленькая по сравнению с кружком шума: мы этот сигнал никак не можем разглядеть за шумом. Ровно как в начале статьи…
Теперь делаем твист ушами!
Соотношение неопределенности ничего не говорит нам о том, что неопределенности должны быть равными. Более того, зачастую это не так — помните анекдоты (да-да, мне уже за 30) про Гейзенберга, которого тормозит мент? Вот именно так: узнаешь скорость точно — и потеряешься в пространстве. Это как раз то, что мы называем сжатием: мы уменьшаем шум в одной квадратуре за счет увеличения его в другой.
Вуаля!

Как видите, мы просто перераспределили, где у нас больше шума, а где меньше. Никакого нарушения соотношения неопределенности. Но — важный момент — теперь мы можем различить красную черточку гораздо-гораздо лучше! Ради этого и старались. Теперь наша гравитационная волна может быть поймана!
Подведем итог этой мини-главы:
- Соотношение неопределенности задает возможную точность наблюдений конкретного параметра
- Мы можем перераспределить неопределенность так, как нам нравится
- Это перераспределение — квантовое сжатие. Мы немного обманываем Гейзенберга, чтобы заглянуть под шум. Но мы его обманем еще не раз! Но чуть позже.
2. Физический смысл сжатия
Прежде, чем я объясню “на пальцах” физический смысл сжатия, нам придется поговорить про то, как его делают.
Вообще способов много, и я дальше в статье расскажу подробнее про них. Но для начала мы рассмотрим конкретный процесс: нелинейный кристалл. Мы берем один фотон накачки с частотой 2f и превращаем его в два фотона сигнала, каждый с частотой f±Δf — так, чтобы их суммарная энергия (частота) складывалась в 2f.

Фишка в том, что теперь эти два новых фотона — квантово-запутанные! Мы не знаем, какой из них какой частоты и они оказываются “размазаны” по координате тоже (т.е. мы не знаем, где они находятся). Но если мы вдруг пронаблюдаем один из них и выясним, что его частота равна f+Δf, то мы точно будем знать, что у втрого частота — f-Δf. И точно так же по времени: если мы поймаем один из них, мы точно будем знать, когда прилетит второй. Можно представить, что без сжатия в лазеры фотоны летят хаотично, а со сжатием — более упорядоченно, один за другим.
Как-то так: красные шарики — обычный свет, синие — сжатый.
Но только эта картинка очень-очень неправильная, т.к. фотоны — не одиночные шарики, каждый фотон “размазан” на много км и они все перекрываются друг с другом…но как иллюстрация пойдет.

Теперь давайте представим, что у нас есть лазер — поток фотонов и мы измеряем его на фотодетекторе. Детектор измеряет бинами ΔT, и в каждом из них в среднем — N фотонов. Когда лазер не сжат, этот поток фотонов абсолютно случаен, так что иногда прилетает больше фотонов, а иногда — меньше, с некоторой дисперсией (неопределенностью) ΔN = √N

А теперь критически важный момент. Мы добавляем сжатый свет. Теперь фотоны не распределены случайно, у них есть корреляции: если мы в определенный момент измерили N1 фотонов, то с большей вероятностью мы измерим столько же и в следующий момент! Мы привнесли порядок в поток фотонов. Теперь дисперсия между наборами измерений становится гораздо меньше: мы сжали свет!

3. Как кристалл создает сжатие
Эта часть — немного для фанатов. Можете смело ее пропускать, но если очень хочется понять, как все устроено — то читайте, конечно! Она позволяет понять, что в сжатии нет никакой магии, это на 100% традиционная нелинейная оптика, нам не нужны никакие кванты и фотоны, чтобы понять, как она возникает. Но понадобится немного сетапа.
Первый важный момент: в нелинейной оптике (и уравнениях Максвелла, кстати) есть величина — диэлектрическая поляризация. В применении к кристаллу, она описывает преобразование электрического поля на выходе, если не вдаваться в подробности. Вот мы напишем
- зависимость вектора поляризации от электрического поля E будет нелинейным — это первый график в картинке ниже.
- мы подадим на “вход” этого кристалла суммарное поле: поле накачки + квантовый вакуум. На картинке ниже суммарное поле нарисовано кричневым. Да, квантовый вакуум: я уже упоминал, что все пространство заполнено колебаниями квантового поля? Вот обычно мы этого не видим, но иногда эти колебания можно усилить — и они начинают нам мешать (или помогать).

Посмотрите как следует на картинку выше, чтоб понять, что там к чему. Поле как бы распространяется снизу вверх и взаимодействует с кристаллом, который преобразует это поле вот так:

Обратите внимание: там, где поле было отрицателным снизу, оно получило маленькое значение после преобразования (справа). Там, где поле было положительным, оно получило буст за счет нелинейности преобразования. Получилась вот такая странная форма. И это сразу сумма трех компонент: несущей частоты f, частоты накачки 2f и всяких высших гармоник.
А что случилось с вакуумом? Давайте разложим поле обрано на сумму компонент. Смотрите, как хитро: накачка осталась синусоидой, а вот квантовый вакуум получил модуляцию! Там, где он был в “положительной” части входящего поля, он оказался усилен, а там, где в “отрицательно” — сжат. Никакой магии!

На самом деле, ровно то же происходит и с классическим шумом в нелинейной оптике.
Создаем сжатие в лаборатории
Надеюсь, прошлая пара частей вас не сильно напугала. Дальше будет проще. Ну по крайней мере какое-то время, потом за себя не ручаюсь.
Если вы пропустили эти главы или ничего не поняли (чорт), важное, что нужно было вынести:
- Сжатый свет — квантовые корреляции между фотонами, упорядочивание шума.
- Он позволяет “сжать” шум в одной наблюдаемой величине (за счет другой)
- Изначально он создается из квантового вакуума за счет взаимодействия с накачкой в нелинейном кристалле.
Давайте теперь поговорим о практике: как мы созадаем сжатие в лаборатории? Идея обычно простая: чем больше накачка, тем сильнее мы можем сжать свет.
Для этого мы используем оптические резонаторы (обычно они еще и резонируют для сжатого вакуума, но это детали). Ставим нелинейный кристалл между двумя зеркальцами и радуемся резонансу света накачки. Какой-то сотни ватт хватит для отличного сжатия!

Просто, не так ли? В целом — так и есть, все довольно просто. Малюсенький кристалл — всего несколько мм длиной (и много k€ ценой) засовываем в компактный корпус размером в несколько см, все надежно закрепляем, чтобы не болталось — и продаем! Так ведь, так?

Увы, все не так просто. Во-первых, нужно создать свет накачки. Это мы обычно делаем в обратном нелинейном процессе (два фотона основного лазера создают один фотон накачки). Во-вторых, нужно очень аккуратно подготовить форму лазерного луча, чтобы он был сфокусирован именно на кристалле. В-третьи, нелинейный процесс сам по себе идти не хочет, кристалл надо как следует нагреть. А резонатор — поддерживать в состоянии резонанса (для чего нам понадобится сразу несколько дополнительных лазерных лучей). Короче говоря, все сложно. Вот так выглядит неполная схема сжимателя в LIGO:


А так — сжиматель в GEO600 (заметите ультра-высокие технологии на кадре выше?). Конечно, сейчас мы уже научились делать компактные девайсы — порядка 60 х 60 см.
Так сколько же сжатия мы можем выжать из этого оборудования?!

Наш рекорд (ну как наш, моего босса, я там не при чем был) — 15 дБ. Это значит, неопределенность шума уменьшилась примерно в 5.5 раз. И это абсолютный рекорд, который держится уже 10 лет, и до которого всем остальным еще топать и топать. Почему так ма…? Поговорим ниже. Но на самом деле, и это уже очень много. Например, современные детекторы LIGO получают 6 дБ сжатия (это уменьшение шума в 2 раза).
Чтоб было понятно: 20 дБ — сжатие в 10 раз по амплитуде, 10дБ — в 3.3 раза, 6 дБ — 2 раза. Для большинства платформ, где производится сжатие, 6 дБ — уже большой успех.

Какие вообще бывают платформы-то? Первая — и основная — это микрочипы разных мастей и оптоволокно. Вот тут есть пост с моим участием про эти дела. В этом подходе главная идея: засунуть все как можно более компатно в фотонную систему, без резонаторов, зато все будет стабильно! К сожалению, в таких системах довольно много оптических потерь, а они, как я расскажу ниже, наш основной враг.
Тем не менее, Большие Корпорации активно развивают этот подход, так как в это можно угрохать кучу инвестиций это полезно для всяких практичесих измерений, когда вы можете не таскать за собой огромный оптический стол. Уровень сжатия тут соответствующий: типично в районе 4-6 дБ, хотя некоторые гении выжимают и по 8. Но до 15 еще очень далеко.

Второй вариант: сжатие в атомных парах. Там используется сильная нелинейность атомов, типа цезия, чтобы создать сжатие. Обычно в таких системах производят не чисто сжатые лучи, а запутанные пучки: на выходе 2 луча, идущие в разных направляниях. Такие системы всем хороши, дают много сжатия, но очень уж неудобны в использовании: сильно зависят от разных внешних параметров, да и работают только для конкретной длины волны. Короче, не очень практично.
Наконец, третий основной вариант — оптомеханические системы. Это такие системы с очень высококачественными механическими маятниками, которые засовываются в резонаторы со светом. Свет давит на маятник, спасибо Лебедев (не тот), маятник отражает свет и меняет резонанс системы. Все вместе производит сильную нелинейность, а вместе с ней — сжатый свет.

Такая вот мембранка — пару мм по ребру, совершает до миллиарда колебаний от любого возмущения, прежде чем затухнуть. Очень клевая, у меня в лабе тоже такая есть.
Это довольно молодая технология, и пока не очень понятно, что с ней делать и где она может быть полезна. Но люди все равно изучают, хотя пока на децибелы хиленько получается раскачать.
Помимо эти трех есть еще миллион других способов создать сжатие: диссипативные системы, негауссовские измерения, нелинейные интерферометры…
Но главный вопрос: нафига это все нужно-то?!
Зачем вообще нужен сжатый свет

Студенты за работой
Применение сжатого света можно разделить на три широкие категории:
- Улучшение чувствительности разных детекторов (мы про это уже немного говорили)
- Использование квантовой статистики
- Квантовые вычисления и информация
Улучшение чувствительности
Тут все просто: прямо как мы обсуждали в самом начале, везде, где используется свет, шум фотонов мешает получать хороший сигнал. А это значит, что можно использовать сжатие!
Конечно, грав-волновые детекторы — главный пример этого дела и мы чуть подробнее про них поговорим ниже. Но есть и множество других вариантов. Например:

Есть микроскоп, разрешение которого ограничего контрастом: насколько наблюдаемая форма клеточки “выступает” на фоне шума. Если снизить шум (с помощью сжатия), контраст увеличится и мы лучше будем видеть клетку.
Или есть магнитный сенсор, которые считывается оптическим полем:

Используя сжатие, получаем хорошее разрешение, ура! (кстати, обратите внимание: на картинке “всего” 2 с небольшим дБ сжатия).
Ну и по тому же принципу можно сделать еще очень много разных вещей в сенсорах! Если у вас есть лазер, сжатие вам поможет (но это не точно). Иногда даже лазера не нужно, можно использовать микроволны! Вот тут сжатый свет использовали, чтобы искать темную материю. Не нашли. Штош.

Использование квантовой статистики
А тут интереснее. Помните, я говорил в начале статьи, что у сжатого света меняется статистика прихода фотонов? Вот они летели рандомно — хоп — и летят строго по порядку? Вот это можно использовать!
Но сперва пришло время поговорить про главного врага сжатия: оптические потери. Обычно потери мы рассматриваем так: ну летел 1 мВт лазера, встретилось ему 10% потерь (грязное зеркало), вот летит 0.9 мВт лазера, делов-то. Со сжатым светом все хуже: мы теряем не только фотоны, но и корреляции между ними: вместо летящих в четком порядке фотонов, мы получаем снова случайный порядок.

Это приводит к тому, что красивая статистика фотонов очень быстро портится и мы терям сжатие. 10% потерь значат, что мы никогда-никогда не сможем получить больше 10 дБ сжатия. Даже если изначально у нас будет 1000дБ, после 10% потерь с нами останется только 10 дБ! А 50% потерь значит, что никогда не можем наблюдать больше 3 дБ.

В общем, потери — главное зло! Поэтому мы в лабораториях все ходим в чистых халатах, масках, перчатках: все, чтобы не заносить лишнюю пыль в систему. Мы покупаем только лучшие зеркала и линзы и стараемся минимизировать количество оптических элементов в наших системах — оставляем только самое важное! Именно поэтому, кстати, так сложно добиться большого сжатия: небольшие неидеальности в системе очень быстро разрушают квантовые состояния.
Но это же свойство можно использовать и во благо! Например, можно очень точно измерить, сколько потерь у нас в системе. Там есть хитрость: сжатие и анти-сжатие по-разному реагируют на потери. Там, где сжатие разрушается, анти-сжатие остается почти неизменным. Это довольно логично: у нас изначально неопределенность анти-сжатой величины очень большая, и небольшая добавка рандома от вакуумного состояния ничего не меняет. Так вот, если измерять одновременно сжатие и анти-сжатие, можно точно сказать, сколько потерь есть в системе, вне зависимости от внешних факторов и калибровки системы.
То есть, например, можно посветить на зеркальце и сказать очень точно, что на этом зеркальце происходит 0.1% потерь. Обычными способами такое сделать сильно сложнее, особенно если зеркальце нельзя вытащить из системы для калибровки.
Так что хрупкость квантовой статистики иногда оказывается полезной.
Второе применение статистики — генератор случайных чисел. Тут простая идея: берем распределение вероятности шума и делим “колокол” на биты в зависимости от того, в какую часть распределения попадает число. Чем шире колокол, тем больше битов можно создать. Анти-сжатая квадратура очень широкая, так что туда можно засунуть много битов. Как-то так и получается, что можно генерить случайные числа с большой скоростью (и при этом безопасно).

Вам случайно секьюрный генератор случайных чисел не нужен? У меня есть!
Квантовые вычисления и информатика
Это огромная тема, которую покрыть невозможно даже отдельной статьей, не то что парой параграфов тут. Если хотите начать разбираться, советую пост Вастрика про квантовый компьютер. Тут я предположу, что вы примерно в курсе, как оно устроено.
Квантовые вычисления в целом основаны на главном свойстве квантовых систем: запутанности. Как вы помните, сжатый свет как раз возникает за счет запутанности между двумя фотонами. Так что довольно естественно использовать его в квантовых компьютерах. На этом основана целая область фотонных квантовых компьютеров. У нее есть большое преимущество между другими типами квантовых компьютеров: там, где Гугл с трудом создает запутанность между сотней кубитов, мы в оптике можем создавать сотни тысяч и миллионы. А это — главная сложность создания полезных квантовых компьютеров: для них требуется огромное количество кубитов. Так что мы уже сейчас решаем проблему со масштабированием компьютеров. К сожалению, до полноценного фотонного КК нам еще далеко.
Проблема в том, что квантовые вычисления требует некоторого не-гауссовского состояния (другими словами, нам нужен нелинейный гейт, такой, который на выходе дает квадрат входа, например). А сжатые состояния сами по себе — гауссовские (помните “колокол” из начала статьи?), и все обычные преобразования: делители луча, зеркала, линзы, резонаторы — линейные. Нам нужно какое-то преобразование, которые сделает нам эту нелинейность. Это может быть либо отдельная квантовая операция, либо подсчет фотонов. Современные оптические КК создают так называемое GKP состояние с помощью специальных измерений над сжатыми состояниями, выглядит красиво:

Рекомендую посмотреть материлы компании Xanadu, которая первой продемонстрировала рабочий фотонный квантовый компьютер. Там очень впечатляет: 84 источника сжатого света на чипе, 86 миллиардов запутанных мод, 12 кубитов в цикле.

В общем, если бы у меня были деньги торговать на бирже (кстати, в конце статьи мне можно задонатить!), я б накупил акций компаний с фотонными КК (not a financial advice). Я думаю, они обгонят другие типы КК и имеют наилучшие шансы на создание полезного КК. Правда, для этого им придется побороть потери в системе, которые сейчас огромные. Но, думаю, это дело времени.

Еще отдельно упомяну, что сжатые состояния также позволяют создавать системы с квантовым распределением ключа для квантовой криптографии.
Сжатый свет и детекторы гравитационных волн
Наконец настала пора рассказать про то, чем я занимаюсь 80% времени (от 5% времени, что я занимаюсь наукой, а не бюрократией). Как сжатый свет таки помогает нам в детектировании гравитационных волн?
Для начала надо вспомнить, как работает детектор вообще. Гравитационная волна — искривление пространства-времени — меняет расстояния между объектами. Например, если подвесить два зеркала, расстояние между ними поменяется, и это изменение можно уловить с помощью лазерного луча:
Most Precise Ruler Ever Constructed
Надо заметить, что изменение расстояния микроскопическое: типа 1/1000 размера протона. И тем не менее, мы можем его зафиксировать! Все благодаря мощным лазерам и сложным системам изоляции от внешних шумов.
- Про гравитационные волны в целом можно почитать в этом моем переводе
- Про подробности детектирования — например, в этой статье про телескоп Эйнштейна или, если вам нравится космос больше, про детектор LISA
Обычно разрешающую способность детектора представляют как график зависимости наименьшего различимого сигнала от частоты. На разных частотах нам мешают детектировать разные шумы: скажем, на очень низких частотах влияет сейсмическая активность земли, на средних — тепловые колебания зеркал и подвесов, а на высоких — в первую очередь квантовый дробовой шум (про который мы уже говорили раньше).
Выглядит это как-то так: strain — это минимальное различимое изменение длины ΔL/L. Т.е. на 100 Гц, например, это порядка 3×10^-24 — т.е. 4 км плеча изменяются на 1/1000000000000000000000 метра и мы это можем различить! Важный момент, чтоб не путаться: мы не можем измерить эту длину с такой точностью, мы только различаем изменение длины.

Если хотите лучше разобраться, как это работает — почитайте мою статью про фундаментальные основы работы детекторов.
Так вот, если вы посмотрите на эту радугу шумов на картинке выше, вы увидите, что квантовый шум оказывается главным нашим ограничением почти на всех частотах. Что нам с ним делать? Сжатый свет! Но не все так просто…Дело в том, что квантовых шума два на самом деле, и просто так сжатый свет нам не поможет, а только все испортит.
Давайте посмотрим на простую картинку: есть подвижное зеркальце, на которое влияет какая-то внешняя сила. Под действием силы зеркальце смещается. Мы светим на нее светом и фаза отраженного света изменяется в зависимости от положения зеркальца. Регистрируя фазу света, мы можем узнать, на сколько сместилось зеркальце и вычислить внешнюю силу. Так как фаза света меняется из-за квантовой природы света, мы видим шум на детекторе, который мешает нам регистрировать сигнал — это дробовой шум. Концептуально, именно так и работает детектор грав волн:

Но есть и другая сторона истории: т.к. мы светим лазером, он создает световое давление. Каждый фотон несет некоторый импульс, которые передается зеркальцу при отражении. Чем мощнее лазер, тем сильнее давление. Это чисто классический эффект, открытый Лебедевым еще в 19 веке. Так вот, квантовая природа света приводит к флуктуациям не только фазы, но и амплитуды света. Отсюда возникает второй компонент квантового шума — шум радиационного давления. То есть: мы светим лазером → он создает шумную силу давления на зеркало → зеркало смещается под действием этой силы → мы регистрируем ее как шум на детекторе.
Получается как-то так:

Радиационное давление зависит от частоты из-за инерции тестовой массы (и/или резонанаса подвесов): это обычное поведение для маятника.
Так что, добавим сжатие? С дробовым шумом мы с вами уже разбирались в начале статьи, и знаем, что получится: мы его снизим всюду.

Думаю, вы уже поняли, к чему идет дальше…Мы вспоминаем Гейзенберга: если мы сжали фазу, то амплитуду мы обязательно должны были разжать! ΔX ΔY = 1, помните? То есть, флуктуации амплитуды оказываются усиленными и шум радиационного давления растет! А что хотели, это закон природы.

Все, что думает о нас Гейзерберг

Получается как-то так: мы, конечно, в одном месте убавили, но пришлось добавить в другом месте. И это одна из больших проблем в детекторах гравитационных волн: если с этим ничего не сделать, мы не сможем использовать сжатие — оно окажется бесполезным.
Что ж, пришла пора обмануть Гейзенберга!
Как обмануть Гейзенберга. Пошаговое руководство
Шаг 1: понять, что на самом деле говорит соотношение неопределенности
Самый важный момент тут: соотношение Гейзенберга говорит про одновременное измерение. В момент t мы не можем точно измерить координату и импульс (или фазу и аплитуду света). В разные моменты времени? Да запросто! Ровно то же самое и для частоты: мы не можем измерить амплитуду и фазу на определенной частоте с точностью больше соотношения неопределенности. Другими словами, на каждой конкретной частоте если мы сжимаем одну квадратуру, мы обязательно разожмем другую. Но для каждой частоты мы можем выбирать, какую именно квадратуру сжимать! Например, на низких частотах мы можем сжать амплитуду (и уменьшить шум радиационного давления), а на высоких — фазу (и уменьшить дробовой шум). Это называется “частотно-зависимое сжатие”.
Шаг 2: построить график и полюбоваться, как это красиво выглядит

Все, что нужно для этого — повернуть угол сжатия на разных частотах. И тогда мы сможем добиться уменьшения шумов повсюду!
Шаг 3: эээ, а как это вообще сделать-то?
Тут мне придется либо пуститься в сильные детали, либо просто помахать руками, сделать широкие глаза и сказать “магия!”. В детали пускаться не хочется, поэтому скажем “магия”, но уточним: для этого нужно отразить поток сжатого света от оптического резонатора. Если резонатор очень хороший и без потерь, то при отражении фаза сжатого света изменится в зависимости от частоты, а амплитуда (количесто децибел) не поменяется. Это вообще свойство любого резонатора, что фаза при отражении меняется:

Картинка отсюда
Тут показан пример: в резонансе (частота = 0) фаза отраженного света =180 градусов, а вдалеке от резонанса — 0. Между ними фаза меняется плавно. Это и используется в частотно-зависимом сжатии: резонатор выбирается так, чтобы фаза плавно вращала сжатие от амплитудной к фазовой квадратуре. Там много деталей, но мы дальше не пойдем.
Шаг 4: убедить экспериментаторов сделать это
Легко сказать: взять хороший резонатор. На практике это должен быть резонатор почти без потерь (иначе наш сжатый свет развалится), и к тому же очень узкой ширины полосы (буквально в пару десятков Гц — это очень сложно, если вам число ни о чем не говорит). Поэтому резонаторы делаются очень качественными, с подвешенными зеркалами, и длиной во много сотен метров (в LIGO — 300 м).


А это вакуумная камера со сжимателем
В телескопе Эйнштейна все еще хуже: нам понадобятся резонаторы длиной в 5км! На 300м под землей, на минуточку, в гигантских тоннелях.
Шаг 5: доказать свою квантовость
LIGO сделали это и доказали, что видят частотно-зависимое сжатие!

Тут на картинке видно: черным — без сжатия вовсе. Зеленым — сжатие без частотной зависимости: мы видим, что дробовой шум на высоких частотах снижается, а радиационное давление — растет. Потом они включили частотную зависимость (фиолетовая кривая): шум радиационного давления снизился, а дробовой шум так и остался сжатым. Правда, на низких частотах нам мешали технические шумы, поэтому фиолетовая кривая не снижается ниже черной. Но их можно вычесть и увидеть настоящее подавление шума радиационного давления.
Ура! Гейзенберг посрамлен, а мы начинаем детектировать черные дыры!

Мне очень нравится эта графика: она показывает все слияния, что мы видели до сих пор. По оси у тут масса черных дыр или нейтронных звезд. По оси х — ничего, просто для красоты так сделано. Очень наглядно показывает, сколько мы всего уже увидели. Большая часть всех этих наблюдений стала возможна благодаря сжатому свету. Всего мы видели 382 события (включая кандидатов, для которых обработка данных еще не завершена). ~360 из них зарегистировали при включенном сжатом свете.

Будущее сжатого света
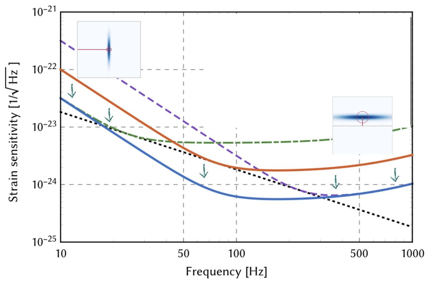
Сжатие — главные инструмент в детекторах гравитационных волн. Мы сейчас дизайним детектор Einstein Telescope и в нем сжатый свет является основополагающим для успеха. Посмотрите, насколько более чувствительным он будет:

Если сейчас мы зарегистрировали 380 событий с LIGO за все время, в телескопе Эйнштейна столько будет набираться за неделю. В каждый момент времени в детекторе будет сразу несколько сигналов. Огромный потенциал! Недавно мы опубликовали статью про науку, которую можно будет сделать с этим детектором: почти 900 страниц, 4900 ссылок на статьи, подробнейшее изучение того, что мы сможем узнать про Вселенную.
Но для этого придется преодолеть множество сложностей, и сжатый свет — одна из них. Я недавно написал ревью про квантовые технологии в телескопе Эйнштейна, там много технического, но я старался максимально доступно писать, посмотрите.
Конечно, за пределами детекторов грав волн у сжатого света тоже прекрасные перспективы. Во-первых, как я уже писал, фотонные квантовые компьютеры не за горами, и сжатие — один из основных подходов в них. Во-вторых, сжатие все чаще используют в прикладных применениях: медицине, метрологии, биологии. Мой босс даже основал компанию по продаже источников сжатого света. Вам не нужен, кстати?
Квантовые технологии все чаще приходят в нашу жизнь и сжатый свет скоро тоже превратится из странной квантовой фиговины в лабораториях в технологический инструмент в индустрии и производстве.
Но он по-прежнему скрывает всякие загадки. Например, мы только что обнаружили новый механизм потерь, который, возможно, испортит все эти ваши фотонные квантовые компьютеры! Но об этом — в следующий раз.
Если вам нравятся мои статьи, поддержите меня донатом!
Это очень мотивирует меня делать больше интересных статей — а у меня целый загашник незаконченных черновиков: и про квантовую теорию поля, и про квантовую гравитацию…
Крипта
ETH — 0x5a3e15561c72e00CF7B169F31C759389E98C5A52
USDT/TRX — TTLDqdJPTWVtvMPuWB43CzYGiKY1jWzvVE
TON — UQBGLZocxJUhoLFkh0oNp0ovKXjeXeNquOELLF22M5tli0aU
А еще на меня можно подписаться:
- на сабстек: вам будут приходить самое главное из моих материалов на почту! https://homeostaticuniverse.substack.com/
- в тг: там больше разных рассказов о жизни в науке, обзоров новостей и всякого разного: https://t.me/homeostatic_universe


Отличная статья!
Отдельный респект на неиспользование LLM. И ты не одинок, я такой же
луддитретроград 😄